Сайт Українського клуба фанів FIAT Український клуб фанів FIAT / CLUB UCRAINO TIFOSO DELLA FIAT

 
ФотогалереяФотогалерея   FAQFAQ   ПоискПоиск   ПользователиПользователи   ГруппыГруппы   РегистрацияРегистрация 
 ПрофильПрофиль   Войти и проверить личные сообщенияВойти и проверить личные сообщения   ВходВход 

Меняем передок!
На страницу Пред.  1, 2, 3, 4, 5  След.
 
Начать новую тему   Ответить на тему    Список форумов Український клуб фанів FIAT / CLUB UCRAINO TIFOSO DELLA FIAT -> FIAT Tipo, FIAT Tempra
Предыдущая тема :: Следующая тема  
Автор Сообщение
APZOR
Италомафиози


Италомафиози

Возраст: 48
Знак зодиака: Весы
Зарегистрирован: 17.04.2008
Сообщения: 580
Откуда: Белая Церковь

Авто: VW Jetta GLI SE 2.0 2015

СообщениеДобавлено: Ср Июл 28, 2010 11:56    Заголовок сообщения: Ответить с цитатой

ValentinN писал(а):
А втулки стабилизатора?

Ну я не спорю. Втулки стаба точно будут ходить дольше из полиуретана, а вот сколько они стоят я таких не встречал.
Вернуться к началу
Посмотреть профиль Отправить личное сообщение Отправить e-mail
karasoff
Италоманьячище


Италоманьячище

Возраст: 36
Знак зодиака: Водолей
Зарегистрирован: 09.03.2009
Сообщения: 1387
Откуда: Львов

Авто: Fiat Croma 1.9m-jet 2010г.

СообщениеДобавлено: Ср Июл 28, 2010 15:42    Заголовок сообщения: Ответить с цитатой

А я думаю из танковой резины сойки стабилизатора сделать. Rolling Eyes
_________________
Fiat Tempra 2.0i.e.cat DGT/SX 1992г.--->Alfa romeo 164 3.0 QV 1992г.--->Alfa romeo 33 1,4 Boxer---> Fiat Tempra 1.6i.e. 1992г.--->Fiat Tipo 1.4i.e. 3D 1995г.--->Fiat Croma 1.9m-jet 2010г.
Вернуться к началу
Посмотреть профиль Отправить личное сообщение
ValentinN
Италомафиози


Италомафиози

Возраст: 57
Знак зодиака: Овен
Зарегистрирован: 21.02.2007
Сообщения: 1070
Откуда: Киев

Авто: Sportage FL CRDI

СообщениеДобавлено: Ср Июл 28, 2010 15:45    Заголовок сообщения: Ответить с цитатой

Лучше цельнометаллические шарниры сделать Smile
_________________
Tempo di motori

Croma->Alfa 155->Tempra SW
Вернуться к началу
Посмотреть профиль Отправить личное сообщение Посетить сайт автора
APZOR
Италомафиози


Италомафиози

Возраст: 48
Знак зодиака: Весы
Зарегистрирован: 17.04.2008
Сообщения: 580
Откуда: Белая Церковь

Авто: VW Jetta GLI SE 2.0 2015

СообщениеДобавлено: Ср Июл 28, 2010 17:18    Заголовок сообщения: Ответить с цитатой

ValentinN писал(а):
Лучше цельнометаллические шарниры сделать Smile

Да +1! Это то что нам нужно прикинь как они будут колбасить передок. Laughing
Зачем тогда цельнометаллические шарниры делать бери сварочный аппарат и арматуру Laughing
Вернуться к началу
Посмотреть профиль Отправить личное сообщение Отправить e-mail
ValentinN
Италомафиози


Италомафиози

Возраст: 57
Знак зодиака: Овен
Зарегистрирован: 21.02.2007
Сообщения: 1070
Откуда: Киев

Авто: Sportage FL CRDI

СообщениеДобавлено: Ср Июл 28, 2010 17:29    Заголовок сообщения: Ответить с цитатой

Не будут они колбасить. Только точность управления возрастет.
В автоспорте количество резинок сведено к минимуму.

_________________
Tempo di motori

Croma->Alfa 155->Tempra SW
Вернуться к началу
Посмотреть профиль Отправить личное сообщение Посетить сайт автора
=aleks=
Италоманьячище


Италоманьячище

Возраст: 49
Знак зодиака: Лев
Зарегистрирован: 06.10.2009
Сообщения: 8633
Откуда: Харьков

Авто: была Tempra2.0 теперьTоyota carina-e 93 1.6

СообщениеДобавлено: Ср Июл 28, 2010 17:29    Заголовок сообщения: Ответить с цитатой

ValentinN
Цитата:
Никто не интересовался вопросом установки полиуретановых сайлентов? У альфистов это модная тема. Говорят, ходят дольше, чем 2 комплекта рычагов.
_________________

а при этом жёстко та как!! ой жопа болеть будет!! ой кузову кирдык быстрый.!!!

_________________
Бортовик Темпра
Вернуться к началу
Посмотреть профиль Отправить личное сообщение
ValentinN
Италомафиози


Италомафиози

Возраст: 57
Знак зодиака: Овен
Зарегистрирован: 21.02.2007
Сообщения: 1070
Откуда: Киев

Авто: Sportage FL CRDI

СообщениеДобавлено: Ср Июл 28, 2010 17:33    Заголовок сообщения: Ответить с цитатой

Ошибаешься. Жесткость подвески зависит не от втулок, а от пружин и аммортизаторов.
_________________
Tempo di motori

Croma->Alfa 155->Tempra SW
Вернуться к началу
Посмотреть профиль Отправить личное сообщение Посетить сайт автора
=aleks=
Италоманьячище


Италоманьячище

Возраст: 49
Знак зодиака: Лев
Зарегистрирован: 06.10.2009
Сообщения: 8633
Откуда: Харьков

Авто: была Tempra2.0 теперьTоyota carina-e 93 1.6

СообщениеДобавлено: Ср Июл 28, 2010 17:36    Заголовок сообщения: Ответить с цитатой

ValentinN
ну не знаю как ты,но я в автогонках соревноватся не собираюсь.и сечас думаю как бы уменьшить жёсткость кузову.

_________________
Бортовик Темпра
Вернуться к началу
Посмотреть профиль Отправить личное сообщение
ValentinN
Италомафиози


Италомафиози

Возраст: 57
Знак зодиака: Овен
Зарегистрирован: 21.02.2007
Сообщения: 1070
Откуда: Киев

Авто: Sportage FL CRDI

СообщениеДобавлено: Ср Июл 28, 2010 17:41    Заголовок сообщения: Ответить с цитатой

Все хотят увеличить жесткость кузова, распорки покупают. Автопроизводители от модели к модели повышают жесткость.
А ты - уменьшить. Чтобы играл в поворотах?

_________________
Tempo di motori

Croma->Alfa 155->Tempra SW
Вернуться к началу
Посмотреть профиль Отправить личное сообщение Посетить сайт автора
=aleks=
Италоманьячище


Италоманьячище

Возраст: 49
Знак зодиака: Лев
Зарегистрирован: 06.10.2009
Сообщения: 8633
Откуда: Харьков

Авто: была Tempra2.0 теперьTоyota carina-e 93 1.6

СообщениеДобавлено: Ср Июл 28, 2010 17:56    Заголовок сообщения: Ответить с цитатой

ValentinN
не так вырозился.уменьшить не жосткость кузову ,а жесткость подвестки.

_________________
Бортовик Темпра
Вернуться к началу
Посмотреть профиль Отправить личное сообщение
shony
Италомафиози


Италомафиози

Возраст: 45
Знак зодиака: Рак
Зарегистрирован: 13.10.2008
Сообщения: 714
Откуда: Чернигов, Украина

Авто: Колись був Fiat Tipo 1.4 S 1994г 159A2.000 32/34 TLDE 21/151 Зеленый

СообщениеДобавлено: Ср Июл 28, 2010 18:30    Заголовок сообщения: Ответить с цитатой

Разрешите и я вставлю свои 5 копеек

С нашими дорогами единственный вариант спасти подвеску, кузов и т.д. это уехать на своей старухе к ней на родину в Италию.

Остальные варианты по смягчению подвески, усилению кузова это как мертвому припарки. Наши дороги убьют все ваши модернизации точно так же как и без оных.

Сам сейчас меняю переднюю подвеску и на основании проб и ошибок пришел к выводу что в Чернигове самый дешевый и надежный способ ремонта это купить сразу все новые запчасти и одним махом все поменять, такой подход очень много времени экономит.

Да и еще, если кто сталкивался с ремонтом подвески, подскажите такое:

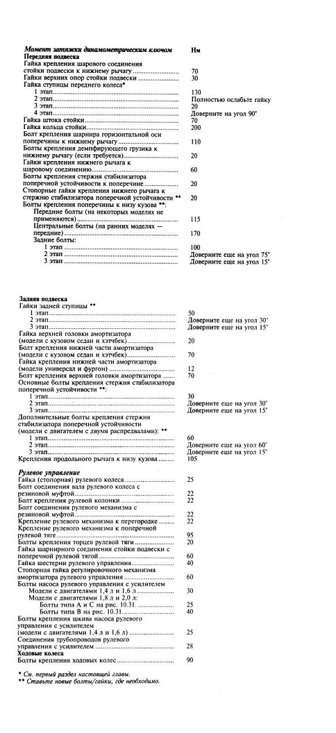
shony писал(а):
Чтоб не создавать новую тему спрошу здесь

Парни подскажите моменты затяжки

1. болтов крепления передних рычагов к подрамнику (вкручиваются в гайки сайлентблоков)

2. болтов шаровой опоры (зажимают цапфу поворотного кулака в которую вставлен палец шаровой опоры)

3. гайки штока передней стойки

4. болтов крепления опорной чашки к стакану

5. гаек стоек стабилизатора

Интересует как теория в цифрах так и практические приемы и советы как затянуть резьбовые соединения передней подвески и при этом ничего не сорвать.
Вернуться к началу
Посмотреть профиль Отправить личное сообщение
=aleks=
Италоманьячище


Италоманьячище

Возраст: 49
Знак зодиака: Лев
Зарегистрирован: 06.10.2009
Сообщения: 8633
Откуда: Харьков

Авто: была Tempra2.0 теперьTоyota carina-e 93 1.6

СообщениеДобавлено: Ср Июл 28, 2010 20:49    Заголовок сообщения: Ответить с цитатой

shony
Цитата:
Чтоб не создавать новую тему спрошу здесь

Парни подскажите моменты затяжки

1. болтов крепления передних рычагов к подрамнику (вкручиваются в гайки сайлентблоков)

2. болтов шаровой опоры (зажимают цапфу поворотного кулака в которую вставлен палец шаровой опоры)

3. гайки штока передней стойки

4. болтов крепления опорной чашки к стакану

ну такое врядли кто скажет.так как у бальшенства ремонтирующих своими силами авто нет денамо ключа.

5. гаек стоек стабилизатора

Интересует как теория в цифрах так и практические приемы и советы как затянуть резьбовые соединения передней подвески и при этом ничего не сорвать.


ну такое врядле кто скажет,так как у большенства ремонтирующих своими силами авто,нет динамо ключа.

_________________
Бортовик Темпра
Вернуться к началу
Посмотреть профиль Отправить личное сообщение
APZOR
Италомафиози


Италомафиози

Возраст: 48
Знак зодиака: Весы
Зарегистрирован: 17.04.2008
Сообщения: 580
Откуда: Белая Церковь

Авто: VW Jetta GLI SE 2.0 2015

СообщениеДобавлено: Чт Июл 29, 2010 05:45    Заголовок сообщения: Ответить с цитатой

shony
Вот нарыл от опеля Астра. Если поможет то смотри. Думаю по ходовй моменты затяжки не сильно отличаются.



moment.jpg
 Описание:
 Размер:  162.71 KB
 Просмотрено:  223 раз(а)

moment.jpg


Вернуться к началу
Посмотреть профиль Отправить личное сообщение Отправить e-mail
APZOR
Италомафиози


Италомафиози

Возраст: 48
Знак зодиака: Весы
Зарегистрирован: 17.04.2008
Сообщения: 580
Откуда: Белая Церковь

Авто: VW Jetta GLI SE 2.0 2015

СообщениеДобавлено: Чт Июл 29, 2010 05:53    Заголовок сообщения: Ответить с цитатой

ValentinN писал(а):
Не будут они колбасить. Только точность управления возрастет.
В автоспорте количество резинок сведено к минимуму.

Ага! Особенно в автомобилях до 1930 годов выпуска Laughing Laughing Laughing
Там даже колеса деревянные были Laughing Laughing Laughing
Вернуться к началу
Посмотреть профиль Отправить личное сообщение Отправить e-mail
APZOR
Италомафиози


Италомафиози

Возраст: 48
Знак зодиака: Весы
Зарегистрирован: 17.04.2008
Сообщения: 580
Откуда: Белая Церковь

Авто: VW Jetta GLI SE 2.0 2015

СообщениеДобавлено: Чт Июл 29, 2010 06:03    Заголовок сообщения: Ответить с цитатой

=aleks=
Уменьшить жесткость подвески можно. Ищи амики и стойки "масло"+пружины помягче. По поводу полиуретановых сайлентов ты не прав. Они не жеще чем резиновые, а прочнее. Их не так быстро будет раздалбывать. Пока из всех кантор по качеству лучше АКРОНА я не встречал. Лично я бы рискнул и поставил, только вопрос скоко они стоят в деньгах?
Вернуться к началу
Посмотреть профиль Отправить личное сообщение Отправить e-mail
Показать сообщения:   
Начать новую тему   Ответить на тему    Список форумов Український клуб фанів FIAT / CLUB UCRAINO TIFOSO DELLA FIAT -> FIAT Tipo, FIAT Tempra Часовой пояс: GMT + 3
На страницу Пред.  1, 2, 3, 4, 5  След.
Страница 3 из 5

 
Перейти:  
Вы не можете начинать темы
Вы не можете отвечать на сообщения
Вы не можете редактировать свои сообщения
Вы не можете удалять свои сообщения
Вы не можете голосовать в опросах
Вы не можете присоединять файлы в этом форуме
Вы можете скачивать файлы в этом форуме






Powered by phpBB © 2001, 2005 phpBB Group
З питань розміщення реклами писати на цю адресу